1+3+5++2n 1 Sum
\sum_{n=1}^{\infty} \frac{2 \cdot 4 \cdot 6 \cdots (2n)}{1 \cdot 3 \cdot 5 \cdots (2n - 1)} \, x^n {/eq}.
1+3+5++2n 1 sum. To ask Unlimited Maths doubts download Doubtnut from - https://goo.gl/9WZjCW Find the sum to n term of the A.P. (Stable means that adding a term to the beginning of the series increases the sum by the same amount.) This can be seen as follows. \(\sum_{1}^{\infty} x^n / 1*3*5.(2n-1)\) (find the interval of convergence) according to my book , before applying the ratio test , an+1 = \(\sum_{1}^{\infty} x.
Homework #1 1.4 (a) Guess a formula for 1 + 3 + 5 + + (2n 1) by evaluating the sum for n = 1, 2, 3, and 4. 1 + 3 + 5 + ⋯ + (2 n − 1) = n 2 be the given statement Step 1:. Consider the given sequence that is 2+6+10+.
The Nth term of tn = 2n + 3 is 2N + 3. 1+3+5+7+9+11+13+15+17 This sum can be found quickly by taking the number n of terms being added (here 9), multiplying by the sum of the first and last number in the progression (here 1 + 17 = 18), and dividing by 2:. Tex\frac{s_{n+1}}{s_{n}} = \frac{(n+.
+ (2n+1) There is a nice way to evaluate S that starts with evaluating 2S by writing the sum forwards and and then backwards. Is (2n + 1), what is the sum of its first three terms?. View Notes - hw1 from MATH 315 at University of Oregon.
Notice that math\displaystyle 1 \times 3 \times 5 \times \ldots \times (2n-1)=\frac{1. Lets assume you set x = 3 The way I believe python interprets this is as follows:. Assume that the equation is true for n, and prove that the equation is true for n + 1.
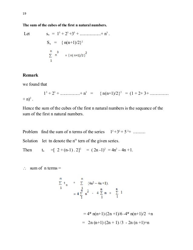
1 + 3 + 5 +. Put n = 1 Then, L.H.S = 1 R.H.S = 1 2 = 1 ∴ L.H.S = R.H.S P(n) is true for n = 1 Step 2:. A n = (1 + 3 + 5 + 7 + (2n-1)) = sum of first n odd numbers = n 2.
1+3+5+2n-1 is an A.P wirh starting rem a =1 and common ratio 2. First iteration with the while loop:. T1 = 2 x 1 + 3 = 5 t2 = 2 x 2 + 3 = 7 t3 = 2 x 3 + 3 = 9 etc.
I want to use \sum to express 1 + 3 + 5 + 7. This is an arithmetic sequence since there is a common difference between each term. + 2n - 1.
∑ n= 1 to ∞. (b) Prove your formula using. A = 1 (the first term).
Let P(n):1 + 3 + 5 +. By proof of mathematical. We can rearrange terms, split the series into a sum of series, factor out common terms, etc.
+ (2n-1) = n^2 ----------- (1) holds obviously since. The formula is 1 + 3 + 5 +. Calculus Tests of Convergence / Divergence Ratio Test for Convergence of an Infinite Series.
Using our example, consider the sum:. True so my_sum = 0+1 plus count increases by 1 and now count = 2 The 'Return my_sum' is key because it allows my_sum to circle back to the top of the loop as 1 now instead of 0. Sum = 55 Efficient Approach:.
1 +0 Answers #1 + 0. Tex(2n+1)+(2n+3)+\cdots+(4n-1) = \sum_{k=1}^n 2n-1+2k/tex This is a finite series. A summation method that is linear and stable cannot sum the series 1 + 2 + 3 + ⋯ to any finite value.
Let it be true for P(k). Let a n be the n-th term of the given series. Epic Collection of Mathematical Induction :.
We can add up the first four terms in the sequence 2n+1:. + (2n - 1) = n2 Step 1 :Put n = 1 Then, LHS = 1RHS = 12 = 1 Therefore, LHS = RHS P(n) is true for n = 1 .Step 2 :Assume that P(n) is true. Replace (substitute) the n by the term number to get its value.
The formula for the sum of n odd numbers is 1 + 3 + 5 + · · · + (2n – 1) = n 2. Question 4 If nth term of an A.P. Get an answer for 'Calculate the value of the sum 1+3+5+.+2n+1.
We use cookies to ensure you have the best browsing experience on our website. +2(2n-1) Observe that the above sequence is in the form of the Arithmetic progression Let s represents the sum of the n terms Then the sum of n terms in Arithmetic progression is given by S 2a( 2 L d. Compute answers using Wolfram's breakthrough technology & knowledgebase, relied on by millions of students & professionals.
A Low Bound for 1/2 * 3/4 * 5/6 *. Use the formula S = n2 to find the sum of 1 + 3 + 5 +. Tex\sum_{k=1}^n 2n-1+2k = \sum_{k=1}^n (2n-1) + \sum_{k=1}^n 2k.
To find n, add 1 to the last term and divide by 2.) Guest Jun 26, 16. + 1153 = = =. The sum of the first n numbers of an arithmetic sequence can be derived from this formula.
For math, science, nutrition, history, geography, engineering, mathematics, linguistics, sports, finance, music… Wolfram|Alpha brings expert-level knowledge and. Sum the N series. * (2n-1)/2n by A.
Then adding 0 to both sides gives 0 + 1 + 2 + ⋯ = 0 + x = x by stability. Find the Sum of the Series 1 , 3 , 5 , 7, , , This is the formula to find the sum of the first terms of the sequence. And the number of terms, n.
S = 1 + 3 + 5 +. Find a formula for the sum:. Given an = 2n + 1 We need to find sum of first three terms Finding first three terms a1 = 2(1) + 1 = 2 + 1 = 3 a2 = 2(2) + 1 = 4 + 1 = 5 a3 = 2(3) + 1 = 6 + 1 = 7 1/2 marks for finding a1, a2, a3 So, Sum of first three terms = a1 + a2 + a3 = 3 + 5 + 7 = 15.
Also, you have this free of charge online textbook in ALGEBRA-II in this site. Return n ** 2 % (10 ** 9 + 7) 3 | Permalink. Following the arithmatic progression Sn = 1 + 3 + 5 + + 2n-1= (1+2n-1) * n / 2 = n * n So, the code in Python3.
Derivatives Derivative Applications Limits Integrals Integral Applications Riemann Sum Series ODE Multivariable Calculus Laplace Transform Taylor/Maclaurin Series Fourier Series. The quotient of two natural numbers is always a natural number. The sum of two natural numbers is always a natural number.
You can put this solution on YOUR website!. Because last odd term =2n-1 and rth odd term is denoted by 2r-1. Use the mathematical induction to verify the result of the sum.' and find homework help for other Math questions at eNotes.
Use Mathematical Induction to prove this. RHS = n^2 = 1^2 = 1. Divergent series are on the whole devil's work, and it is a shame that one dares to found any proof on them.
Are the following true or false?. It is easier to prove a stronger bound than requested. See the lessons - Arithmetic progressions - The proofs of the formulas for arithmetic progressions - Problems on arithmetic progressions in this site.
1/(2n-1)(2n+1) = n/(2n+1) -. This sum became an object of particular ridicule by Niels Henrik Abel in 16:. Using the Ratio Test:.
1!+3!+5!++(2N+1)!, where N is integer number greater then 0 (user should enter N f. + 2(2n - 1) Image Transcriptionclose. Refer this post for the proof of above formula.
Set my_sum = 0 and count = 1 1. Hi Emma, Suppose that we use S to designate this sum, that is. How do you apply the ratio test to determine if #sum (1*3*5* * * (2n-1))/(1*4*7* * * (3n-2))# from #n=1,oo)# is convergent to divergent?.
If N E N, Make A Conjecture About The Value Of The Sum:. Now, Refer this post for the proof of above formula. Prove true for n=1 LHS= 2-1=1 RHS=1^2= 1= LHS Therefore, true for n=1 Step 2:.
Or what methods can I use to express this sequence?. Let’s note math(a/mathmath_n)_{n \in \mathbb N^*}/math the sequence. LHS = 2(1) - 1 = 1.
To add up the odd numbers 1 + 3 + 5 + 7 + · · · + 2,357, you first determine how many numbers are in the list:. Aside, but note well:. Based On Your Work In A.
The sum of the members of a finite arithmetic progression is called an arithmetic series. Assume true for n=k, where k is an integer and greater than or equal to 1 1+3+5+7+.+(2k-1)=k^2 ------- (1) Step3:. 375 + 1 / 2 = 376 / 2 = 1.
Assume_that P(n) is true for n = k ∴ 1 + 3 + 5 + ⋯ + (2 k − 1) = k 2 Adding 2 k + 1 on both sides, we get 1 + 3 + 5 + ⋯ + (2 k − 1) + (2 k + 1) = k 2 + (2 k + 1) = (k. Actually for the first question tex\sum^{\infty}_{n=1} \frac{n!}{1.3.5.(2n-1)}/tex you made a mistake while simplifying:. Sothe sum of the series = 1 2 =.
If 1 + 2 + 3 + ⋯ = x. N=1 (2n+1) = 3 + 5 + 7 + 9 = 24. 0 users composing answers.
1+3+5+7++(2k-1)+(2k+1) =k^2+(2k+1) ---(from 1 by assumption) =(k+1)^2 =RHS Therefore, true for n=k+1 Step 4:. Line Equations Functions Arithmetic & Comp. Solution for Determine if ∑(1.
The last convergence sum is the reason illustrate why negative even values of Riemann zeta function are zero. By PMI prove , 1/1.3 + 1/3.5+ 1/5.7+. R = lim(n→∞) |(1*3**(2n-1)*(2(n+1)-1) x^(n+1))/(2*4**2n*2(n+1) * (n+2)) / (1*3**(2n-1) x^n)/(2*4**2n * (n+1))|.
+ (2n-1) =. The next term of the sequence, i.e the (n+1)th term 1, 3, 5,, (2n-1) which is summed is (2n+1), now with n=1 the relationship, 1 + 3 + 5 +. Write step by step.
1 + 3 + 5 +. The values of a, d and n are:. + (2n-1) = ?.
Prove that 1+3+5++(2n+1)= (n+1) 2 for all n greater than or equal to 1. The difference of two natural numbers is always a natural number. Put n = 1.
I'm writing console program in visual studio now. N 2 = 1 2 + 2 2 + 3 2 + 4 2 = 30. N is given by :.
So the sum is Sn = a+a+(n-1)d}n/2 =1+1+(n-1)*2n/2. My program should calculate the sum of following series:. Show The Result It True When N = 5 And N = 6 (i.e., Show P(5) And P(6) Are.
Supercharge your algebraic intuition and problem solving skills!. To evaluate it, the values of the first and th terms must be found. Well, 999 is of the form 2(500)-1, so n, in this case, is 500, so the sum of all odd numbers (from 1) up to 999 is 500^2 or 250,000.
We can square n each time and sum the result:. Calculate 1 +3+5+(2n 1 For Several Natural Numbers Ne, The Sum Of The First N Odd Numbers. (n=1) (n = 2) (n = 3) (n=4) 1= 1+3= 1+3+5= 1+3+5+7= B. Asked by Bill on September 7, 10;.
1 <= 3 :. Mrasquinha 5 years ago + 0 comments. Robin randomly selects a number between 1 and.
Consider the power series {eq}\;. From this series, we can observe that ith term of the series is the sum of first i odd numbers. 2 n – 1 = 2,357, so n = 1,179.
2+ 6+ 10. Our task is to create a program to find the sum of the series 1 + (1+3) + (1+3+5) + (1+3+5+7) + + (1+3+5+7+.+(2n-1)). The above theorem can be proven quite easily by a method called induction, which is a very powerful technique used in mathematics to prove statements about the natural numbers.
And we can use other letters, here we use i and sum up i × (i+1), going from 1 to 3:. The sum of the series 1+3+5+7+2n-1 - There are n terms in the series.
Which Expression Defines The Given Series For Seven Terms 3 1
Solved Problem 1 A Calculate 1 3 5 2n 1 For Several Nat Chegg Com
What Is The Value Of 1 3 1 5 1 7 1 49 Quora
1+3+5++2n 1 Sum のギャラリー
11 4 Series Sigma Notation Ppt Video Online Download
Find The Sum To N Terms 1 2 3 2 5 2 Youtube
Preliminary To Math Induction An Infinite Sequence Of Propositions
Ex 4 1 17 Prove 1 3 5 1 5 7 1 7 9 1 2n 1 2n 3
Natural Numbers Series 12 9 Sideway Output To
8 Proof By Induction S K 2 N N 1 2n 1 6 Discrete Principle Induccion Matematicas Youtube
Sum Of The First N Odd Numbers Is N 2 Mathematics Stack Exchange
Sum Of The Series 1 1 3 1 3 5 1 3 5 7 1 3 5 7 2n 1 Geeksforgeeks
Sum Of N N Or N Brilliant Math Science Wiki
Find The Sum Of Series 3 7 13 21 31 Geeksforgeeks
3
Q Tbn 3aand9gcrg0fvf2q3 9bk 1vpqrtfiiykjztngocx1 G Usqp Cau
2 Mathematical Induction 2 2 2 2 3 2 N 2 2 N 1 Proof 5 N 2 N Div By 3 Discrete Mathgotserved Youtube
What Is The Sum Of 1 3 5 7 9 11 13 15 17 19 21 23 25 27 29 31 95 97 99 Quora
The Sum To N Terms Of The Series 1 1 3 1 3 5 1 5 7
Sideway Bick Blog On 18 05 From Sideway To
Ex 9 4 3 Find Sum 3 X 12 5 X 22 7 X 32 Chapter 9
The Sum Of First N Odd Numbers I E 1 3 5 7 2n 1 Is Div
What Is The Sum To N Terms Of The Series 1 2 3 2 3 4 3 4 5 Quora
Solved Show That The Sum Sn Of The First N Terms Of The S Chegg Com
Q Tbn 3aand9gcqv7plpc4wpkxsn 5mcavyivufpxno3bk9xqr1z6ba Usqp Cau
What Is The Sum Of The Terms In The th Bracket Of The Series 1 2 3 4 5 6 7 8 9 Quora
Neethutext
Natural Numbers Series 12 9 Sideway Output To
If Nth Term Of An A P Is 2n 1 What Is Sum Of Its First Three
Solved Given The Series Sum N 1 To Infinity 2x 5 2 Chegg Com
What Is The Sum Of The Series 3 6 4 7 5 8 Up To N 2 Terms Quora
How To Find The Sum Of The Series Math Frac 1 1 3 Frac 2 1 3 5 Frac 3 1 3 5 7 Frac 4 1 3 5 7 9 Math Quora
Sum To N Terms Whose Nth Term Is 2n 1 2 Math Sequences And Series Meritnation Com
Chapter 10 Mathematical Induction People Vcu Edu
Euler S Continued Fraction Formula Wikipedia
The Sum Of N Terms Of The Series 1 1 3 1 3 5 Is A
Find The Sum Of Series Upto N Terms 2n 1 2n 1 3 2n 1 2n 1 2 5 2n 1 2n 1 3 Youtube
Terms 25 Find The Sum Of The Following Series Up To 11 221 23
Calculate The Value Of The Sum 1 3 5 Cdots 2n 1 Mathematics Stack Exchange
Comp108 Algorithmic Foundations Mathematical Induction Ppt Download
Ex 4 1 7 Prove 1 3 3 5 5 7 2n 1 2n 1 Class 11
C Program To Find Sum Of Series 1 2 3 N The Crazy Programmer
Proof Of Finite Arithmetic Series Formula By Induction Video Khan Academy
Q Tbn 3aand9gcta8unkpiuxzwiw8ktqozifctbckj6l5hnrbgxcghgp Pmbok Usqp Cau
If The Nth Term Of An A P Be 2n 1 Then The Sum Of Its First N Terms Math Arithmetic Progressions Meritnation Com
Rd Sharma Solutions For Class 11 Chapter 21 Some Special Series Download Free Pdf Available
Tips And Tricks To Solve Sequences And Series Questions Advanced
What Is The Summation Of The Series 1 3 6 10 15 Quora
Proving Sum K 1 N K 2 Frac N N 1 2n 1 6 Without Induction Mathematics Stack Exchange
Http Math Hawaii Edu Home Pdf Putnam Olympiadproblems Pdf
Determine The Sum Of The Series 1 3 2 5 4 7 8 2n 1 2 N 1 Youtube
Sequence Series 1 Summation Odds
Solved Usins Iiduclioln Verily Thal Cacil Eqtal Is Elor Chegg Com
What Is The Sum Of The Series 1 1 3 5 1 3 5 7 1 5 7 9 Up To N Terms Quora
Ex 4 1 7 Prove 1 3 3 5 5 7 2n 1 2n 1 Class 11
Find The Sum Of The Following Series Upto N Th Term 1 2
Natural Numbers Series 12 9 Sideway Output To
Solved Show That The Sum Sn Of The First N Terms Of The S Chegg Com
Find The Sum Of The Series 2 3 5 9 8 15 11 21 To 2n 1 Terms Youtube
What Is The Sum Of The Series 1 1 3 5 1 3 5 7 1 5 7 9 Up To N Terms Quora
How Can You Prove That 1 5 9 Cdots 4n 3 2n 2 N Without Using Induction Mathematics Stack Exchange
Solved Find The Sum Of The Series 1 1 3 1 3 5 1 5 7 Chegg Com
Number Sequences Overhang This Lecture We Will Study Some Simple Number Sequences And Their Properties The Topics Include Representation Of A Sequence Ppt Download
By Pmi Prove 1 1 3 1 3 5 1 5 7 1 2n 1 2n 1 N 2n 1 Brainly In
Solved Evaluate The Sum Of The Following Series Summatio Chegg Com
What The Sum Of 1 1 2 1 3 2 1 5 2 1 2n 1 2 Quora
Sum Of Squares Of Odd Numbers 1 2 3 2 5 2 2n 1 2 Derivation Formula Prmo Rmo Iit Youtube
Sum Of The Series 1 3 1 1 3 2 3 1 3 1 3 2 3 3 3 1 3 5 To Askiitians
Find The Sum To N Terms 1 2 3 2 5 2 Youtube
Solved 2 Consider The Sum 1 3 5 7 2n 1 A Rewrite Us Chegg Com
If The Nth Term Of An Ap Is 2n 1 Find The Sum Of First N Terms Of The Ap Mathematics Topperlearning Com 8p4r7u066
Proof Of Finite Arithmetic Series Formula By Induction Video Khan Academy
50 Pointsfind The Sum Of The Series 3 3 2 3 5 3 4 3 7 3 6 3 To N Terms Brainly In
Find The Sum To N Terms Of The Series 3 12 5 22 7 32 Mathematics Shaalaa Com
Sequence Function
Solved Mula 1 3 5 2n 1 N To Find The Sum 1 3 5 Chegg Com
Find The Sum To N Term Of The A P 1 3 5 7 Youtube
7 Proof By Induction 1 3 5 7 2n 1 N 2 Discrete Prove All N In N Induction Mathgotserved Youtube
Wallis Product Wikipedia
Sum To N Terms Of Special Series Study Material For Iit Jee Askiitians
Misc 25 Find Sum Of 13 1 13 23 1 3 Chapter 9 Class 11
Mathematical Induction Online Presentation
2 The Sum Of N 1 Terms Of 1 1 3 1 3 5 Is A N
Find The Sum Of The Following Series Up To N Terms 1 3 1 1 3 2 3 1 3 1 3 2 3 3 3 1 3 5 Mathematics Shaalaa Com
Infinite Series Sum 1 N 1 N 1 3 5 2n 1 Convergence Using The Ratio Test Youtube
Euler S Continued Fraction Formula Wikipedia
Http Www Math Northwestern Edu Mlerma Courses Cs310 Notes Dm Induc
Sum Of Natural Numbers
Answered And N 2n 1 N 1 3 5 13 The Bartleby
What Is The Sum Of The Series 1 1 3 5 1 3 5 7 1 5 7 9 Up To N Terms Quora
Sum The Series 1 3 7 15 31 To N Terms Brainly In
Solved Write Out The Sum N 1 Sigma K 0 2k 3 5 7 9 Chegg Com
Ex 9 4 10 Find Sum Of Series Nth Terms Is 2n 1 2 Ex 9 4
How To Evaluate The Sum Of N 2 2 N From N 1 To Infinity Quora
Example 5 By Mathematical Induction Prove That 1 3 5 2n 1
Solved Write The Sum In Sigma Notation 1 3 5 7 Chegg Com
Solved Write The Sum In Sigma Notation 1 1 3 5 7 2n Chegg Com
Find The Sum Of 1 1 3 5 1 3 5 7 1 5 7 9 Up To N Terms
Python Program To Calculate Sum Of Series 1 2 3 N
Find Sum Of Series 1 3 5 7 9 11 Upto N Terms When Brainly In
Notes On Topics Of Algebra Notes
05 07 Ex2 Prove Sum Of First N Odd Numbers Is N 2 By Induction Youtube
Q Tbn 3aand9gcrnugm3uscdv4mzdta0jx63vu8sszgw O69etymhkywfknhshij Usqp Cau
Find The Sum To N Terms Of The Series 1 2 3 2 3 4 3 4 5 Sarthaks Econnect Largest Online Education Community
Solved Here Are A Couplc Of Formulas 2i 1 1 3 5 Chegg Com


